最好看的2018免费观看在线-最好看的2019中文电影-最好免费观看高清视频免费-最近免费中文字幕大全免费版视频

您好!歡迎光臨烜芯微科技品牌官網!

深圳市烜芯微科技有限公司

ShenZhen XuanXinWei Technoligy Co.,Ltd
二極管、三極管、MOS管、橋堆

全國服務熱線:18923864027

  • 熱門關鍵詞:
  • 橋堆
  • 場效應管
  • 三極管
  • 二極管
  • MOS管偏置電路-MOS管直流-恒流等偏置電路圖與方程
    • 發布時間:2019-09-16 14:52:10
    • 來源:
    • 閱讀次數:
    MOS管偏置電路
    MOS管直流偏置電路
    MOS管的單電源直流偏置電路有兩種:
    1、只能用于結型和耗盡型MOS管的自給偏置電路。
    2、可用于各種MOS管的分壓式偏置電路
    自給MOS管偏置電路
    (1)圖解法
    MOS管
    根據圖中電路的輸出回路列出直流負載線方程
    MOS管
    再根據輸入回路列出直流負載線方程
    MOS管
    MOS管
    (2)計算法(列方程組求解)
    MOS管
    式中的IDSS和UP可以從特性曲線上求出,或者從產品手冊上查到。
    自給MOS管偏置電路的缺點是:
    當偉提高穩定工作點的能力而增大RS時,IDQ減小,(Q下移),使gm和AU隨之減少。
    MOS管
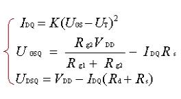
    分壓式偏置電路
    將轉移性的近似函數式與根據電路列出的直流電壓方程聯立,就可求解靜態工作點。
    MOS管
    MOS管
    分壓式自偏壓電路可通過調整電阻分壓比來改善靜態工作點。
    MOS管高阻抗偏置電路圖及說明
    下圖所示為MOS場效應管高祖偏置的電路圖。場效應管在工作中讓其輸入回路的PN結工作于反向偏置,以減小輸入電流,提高輸入電阻。MOS場效應管是通過改變UGS來改變柵極下方半導體中的電場強度,控制感應電荷的多少,進而控制導電溝道的導電能力。
    MOS管
    MOS管恒流偏置電路
    通常,當RL?R時,流過光敏電阻的電流基本不變,此時的偏置電路稱為恒流電路。然而,光敏電阻自身的阻值已經很高,再滿足恒流偏置的條件就難以滿足電路輸出阻抗的要求,為此,可引入如下圖所示的晶體管恒流偏置電路。
    MOS管
    穩壓管DW將晶體三極管的基極電壓穩定,即UB=UW,流過晶體三極管發射極的電流Ie為
    MOS管
    烜芯微專業制造二三極管,MOS管,20年,工廠直銷省20%,1500家電路電器生產企業選用,專業的工程師幫您穩定好每一批產品,如果您有遇到什么需要幫助解決的,可以點擊右邊的工程師,或者點擊銷售經理給您精準的報價以及產品介紹
    相關閱讀