最好看的2018免费观看在线-最好看的2019中文电影-最好免费观看高清视频免费-最近免费中文字幕大全免费版视频

您好!歡迎光臨烜芯微科技品牌官網!

深圳市烜芯微科技有限公司

ShenZhen XuanXinWei Technoligy Co.,Ltd
二極管、三極管、MOS管、橋堆

全國服務熱線:18923864027

  • 熱門關鍵詞:
  • 橋堆
  • 場效應管
  • 三極管
  • 二極管
  • 共發射放大電路詳解
    • 發布時間:2020-03-23 16:22:38
    • 來源:
    • 閱讀次數:
    共發射放大電路詳解
    今天我們來深入了解一下第一種組態,共發射放大電路的詳細資料。
    首先請了解一下共發射放大電路圖(如下):
    共發射放大電路
    因具有電流與電壓放大增益,所以廣泛應用在放大器電路。其電路特性歸納如下:
    輸入與輸出阻抗中等(Ri約1k~5k ;RO約50k)。
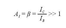
    電流增益:
    共發射放大電路
    電壓增益:
    共發射放大電路
    負號表示輸出信號與輸入信號反相(相位差180°)。
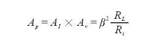
    功率增益:
    共發射放大電路
    烜芯微專業制造二極管,三極管,MOS管,橋堆等20年,工廠直銷省20%,1500家電路電器生產企業選用,專業的工程師幫您穩定好每一批產品,如果您有遇到什么需要幫助解決的,可以點擊右邊的工程師,或者點擊銷售經理給您精準的報價以及產品介紹
    相關閱讀