最好看的2018免费观看在线-最好看的2019中文电影-最好免费观看高清视频免费-最近免费中文字幕大全免费版视频

您好!歡迎光臨烜芯微科技品牌官網!

深圳市烜芯微科技有限公司

ShenZhen XuanXinWei Technoligy Co.,Ltd
二極管、三極管、MOS管、橋堆

全國服務熱線:18923864027

  • 熱門關鍵詞:
  • 橋堆
  • 場效應管
  • 三極管
  • 二極管
  • 二極管三相橋式整流電路解析
    • 發布時間:2020-09-30 16:11:11
    • 來源:
    • 閱讀次數:
    二極管三相橋式整流電路解析
    當需要更大功率時,應采用三相整流電路(三相橋式或三相半波整流),這樣既可保證三相供電系統的對稱平衡,又有獲得脈動較小的直流輸出。
    二極管三相橋
    三相橋式整流電路由六個整流二極管和一個三相整流變壓器組成,如下右圖所示。三相變壓器原邊常接成三角形,副邊接成星型。
    變壓器副邊三相電壓UA、UB、UC按正弦規律變化,相位互差120度(三相橋式整流電阻負載時UL波形如下右圖所示)。
    這一整流電路的特點是在任何時刻都只有一組兩只二極管導通,使電流由電位最高的相出發,經V1、V3、V5的某一個,流經負載。再由V2、V4、V6中的某一個流回電位最低的相,而其它二極管此時都截止。例如,在0~t時間段,uC最高,uB最低,則由C→V5→Rfz→V4→b;而t1~t2期間uA最高,uB最低,則電流路徑為a→V1→Rfz→V4→b;以此類推,則可得出各個不同時刻二極管的導通次序及負載上電壓(為兩相電壓之間的線電壓)波形。
    二極管三相橋
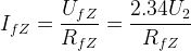
    經數學分析可知,三相橋式整流電路負載電壓,電流平均值為:
    二極管三相橋
    由于是六個二極管分為三組輪流導通截止,因此,流過每個二極管的平均電流為Iv=1/3*IfZ每個二極管所承受的最大反向電壓是變壓器副邊線電壓(√3*U2)的最大值,即:
    二極管三相橋
    烜芯微專業制造二極管,三極管,MOS管,橋堆等20年,工廠直銷省20%,4000家電路電器生產企業選用,專業的工程師幫您穩定好每一批產品,如果您有遇到什么需要幫助解決的,可以點擊右邊的工程師,或者點擊銷售經理給您精準的報價以及產品介紹
    相關閱讀