最好看的2018免费观看在线-最好看的2019中文电影-最好免费观看高清视频免费-最近免费中文字幕大全免费版视频

您好!歡迎光臨烜芯微科技品牌官網!

深圳市烜芯微科技有限公司

ShenZhen XuanXinWei Technoligy Co.,Ltd
二極管、三極管、MOS管、橋堆

全國服務熱線:18923864027

  • 熱門關鍵詞:
  • 橋堆
  • 場效應管
  • 三極管
  • 二極管
  • MOS管導通損耗的計算方法介紹
    • 發布時間:2024-07-26 18:49:04
    • 來源:
    • 閱讀次數:
    MOS管導通損耗的計算方法介紹
    MOS 管計算導通損耗時,應該用平均電流IAVG還是用電流有效IRMS值呢?
    MOS管導通損耗計算
    先定義下相關參數,以便于后續的計算.
    IO -------------輸出電流
    IH-AVG-----------上MOS 管平均電流
    IL-AVG ---------下MOS 管平均電流
    IRMS(H) --------上MOS 管電流有效值
    IRMS(L) -----------下MOS 管電流有效值
    D ------------------上MOS 管占空比
    ΔI --------------電感紋波電流
    RON-H ---------上MOS 管導通電阻
    RON-L ---------下MOS 管導通電阻
    PON-H ---------上MOS 管導通損耗
    PON-L ---------下MOS 管導通損耗
    計算方法1: 基于平均電流
    MOS管導通損耗計算
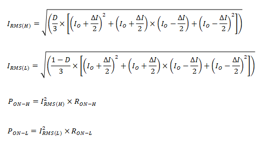
    計算方法2: 基于電流有效值
    MOS管導通損耗計算
    下面是關于有效值和平均值的對比數據,可以直觀的看出有效值比平均值大出很多.
    所以兩種方法計算出來的導通損耗也會差別很大,那么哪種方式是正確的呢?
    MOS管導通損耗計算MOS管導通損耗計算
    MOS 管導通時,等效為一個電阻RDS(ON), 計算損耗時是通過積分來計算的,應該用有效值來計算。
    MOS管導通損耗計算MOS管導通損耗計算
    由此可見,I 為有效值的計算公式, 所以計算時應用電流有效值來計算MOS管的導通損耗.
    那么什么時候可以用平均電流來計算損耗呢?
    其實輸出整流二極管,MOS體二極管的導通損耗,則是用均值來計算的.
    〈烜芯微/XXW〉專業制造二極管,三極管,MOS管,橋堆等,20年,工廠直銷省20%,上萬家電路電器生產企業選用,專業的工程師幫您穩定好每一批產品,如果您有遇到什么需要幫助解決的,可以直接聯系下方的聯系號碼或加QQ/微信,由我們的銷售經理給您精準的報價以及產品介紹
     
    聯系號碼:18923864027(同微信)
    QQ:709211280

    相關閱讀