最好看的2018免费观看在线-最好看的2019中文电影-最好免费观看高清视频免费-最近免费中文字幕大全免费版视频

您好!歡迎光臨烜芯微科技品牌官網!

深圳市烜芯微科技有限公司

ShenZhen XuanXinWei Technoligy Co.,Ltd
二極管、三極管、MOS管、橋堆

全國服務熱線:18923864027

  • 熱門關鍵詞:
  • 橋堆
  • 場效應管
  • 三極管
  • 二極管
  • 單個晶體管的電壓放大電路解析
    • 發布時間:2024-08-21 18:04:31
    • 來源:
    • 閱讀次數:
    單個晶體管的電壓放大電路解析
    單個晶體管構成的電壓放大電路稱為單管電壓放大電路。晶體管放大電路有三種基本連接方式:共發射極接法、共基極接法和共集電極接法,如圖6-2所示。
    單個晶體管電壓放大電路
    在共發射極電路中,發射極為輸入、輸出回路的交流公共端。在共基極電路中,基極為輸入、輸出回路的交流公共端。在共集電極電路中,集電極為輸入、輸出回路的交流公共端。一般作電壓放大時,常采用共發射極電路。
    單管基本放大電路是最基本的放大電路。圖6-3所示為一個典型的共發射極電壓放大電路,VT為晶體管,R1、R2為基極偏置電阻,R3為集電極電阻,R4為發射極電阻,C1、C2為耦合電容,C3為發射極旁路電容。
    單個晶體管電壓放大電路
    (1)直流工作點的建立
    晶體管放大電路能夠正常工作的前提是:必須使晶體管有合適的直流工作點,并保持工作點的穩定。
    單管共發射極電壓放大電路是如何建立和穩定直流工作點的?為了分析方便,將圖6-3中的交流回路略去,畫出該電路的直流回路,如圖6-4所示。
    單個晶體管電壓放大電路
    從直流回路中可見,除集電極電阻R3外,其余3個電阻(R1、R2、R4)都是用來建立和穩定VT的直流工作點的。R1、R2將電源電壓分壓后作為VT的偏置電壓(即工作點),發射極電阻R4上形成的電流負反饋具有穩定工作點的作用。
    (2)直流工作點的穩定
    晶體管易受溫度等外界因素影響而造成工作點漂移,因此自動穩定工作點是很重要的。工作點的穩定過程如圖6-5所示。
    單個晶體管電壓放大電路
    當溫度上升等原因造成工作點上升時,VT的發射極電流Ie增大使R4上的電壓降(即VT的發射極電壓Ue)上升。由于VT的基極偏置電壓Ub是固定的(由R1、R2分壓所得),因此發射極電壓Ue上升必然使VT的基極-發射極間電壓Ube下降。Ube下降使得基極電流Ib下降,導致VT的集電極電流Ic和發射極電流Ie隨之下降,迫使工作點回落,其結果是保持了工作點基本不變。
    當因某種原因造成工作點下降時,電路按相反的方向自動進行調整,最終使工作點保持基本穩定。
    (3)交流信號的放大
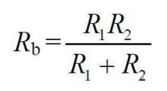
    對交流信號而言,電容C1~C3相當于短路,電池也可視為短路,因此,共發射極電壓放大電路的交流回路如圖6-6所示。Rb為VT的基極電阻,Rb等于圖6-3中偏置電阻R1與R2的并聯值,即
    單個晶體管電壓放大電路
    Rc為VT的集電極負載電阻,在放大器輸出端開路(Uo端未接負載)的情況下,Rc就是圖6-3中的R3,即Rc=R3。
    單個晶體管電壓放大電路
    電路放大過程是,當在放大電路輸入端(VT基極)加入一個交流信號電壓Ui時,VT的基極電流Ib將隨Ui的變化而變化,使其集電極電流Ic也隨之變化,并在負載電阻Rc上產生電壓降。因為VT的集電極電流Ic是基極電流Ib的β倍,所以在其集電極處便得到一個放大了的輸出電壓Uo。
    由于在共發射極電壓放大電路中,輸出電壓是電源電壓與集電極電流在集電極電阻上的壓降的差值,因此輸出電壓Uo與輸入電壓Ui相位相反,集電極電流Ic與輸入電壓Ui相位相同。各點波形如圖6-7所示。
    單個晶體管電壓放大電路
    〈烜芯微/XXW〉專業制造二極管,三極管,MOS管,橋堆等,20年,工廠直銷省20%,上萬家電路電器生產企業選用,專業的工程師幫您穩定好每一批產品,如果您有遇到什么需要幫助解決的,可以直接聯系下方的聯系號碼或加QQ/微信,由我們的銷售經理給您精準的報價以及產品介紹
     
    聯系號碼:18923864027(同微信)
    QQ:709211280
    相關閱讀