最好看的2018免费观看在线-最好看的2019中文电影-最好免费观看高清视频免费-最近免费中文字幕大全免费版视频

您好!歡迎光臨烜芯微科技品牌官網!

深圳市烜芯微科技有限公司

ShenZhen XuanXinWei Technoligy Co.,Ltd
二極管、三極管、MOS管、橋堆

全國服務熱線:18923864027

  • 熱門關鍵詞:
  • 橋堆
  • 場效應管
  • 三極管
  • 二極管
  • 多層陶瓷電容器在POL應用中的作用解析
    • 發布時間:2024-09-23 20:54:13
    • 來源:
    • 閱讀次數:
    多層陶瓷電容器在POL應用中的作用解析
    如今電源設計工程師需要考慮許多設計方面和優先事項。設計優先級往往按以下順序排列:拓撲結構、控制器、FET 開關、驅動器(如果是獨立的)、磁性元件、無源功率元件,最后是要使用的多層陶瓷電容器(MLCC)和數量。只要MLCC可以滿足設計需求,至少在數據表上,MLCC仍然是低優先級。雖然,電源轉換器中的所有器件都很重要,但是,MLCC在涉及眾多參數的電源設計中扮演著多重角色。
    1.什么是多層陶瓷電容器(MLCC)
    MLCC以其小尺寸、高電容密度和低等效串聯電阻(ESR)和電感(ESL)值而聞名。但是,MLCC供應商提供的典型參數是外殼尺寸、電容和容差、溫度特性和額定電壓。電源設計人員需要了解有效電容(實際在線電容)、ESR和ESL值、紋波電流(RC)處理和成本。一些電源設計專門針對給定輸出電容器解決方案的最小電容(C值)以及最大ESR和ESL值。在高瞬態應用中尤其如此。
    陶瓷電容器在POL應用
    圖1 MLCC等效電路模型
    圖1顯示了MLCC等效電路模型,其中磁滯電阻(Rh)是一個與頻率相關的值(與所使用的介電材料及其各自的極化延遲有關),并在ESR-/Z/中反映為變化的ESR值對頻曲線如圖2所示:
    陶瓷電容器在POL應用
    圖2 ESR-/Z/與頻率
    由溫度引起的電容變化有據可查,取決于介電材料,并在定義的溫度范圍內產生已知的電容變化。然而,影響有效電容的另一個因素是施加的直流電壓,通常稱為“直流偏置效應”。隨著施加的DC電壓增加,介電常數(K)和電容都作為暫時現象下降。此外,隨著施加的交流電壓降低,有效C值也會降低。在紋波電壓控制至關重要的低壓應用中,例如在CPU的Vcore設計中,這種AC相關的降低很重要。參見圖3。
    陶瓷電容器在POL應用
    圖3 DC/AC電壓對MLCC的影響
    MLCC的ESR值取決于許多參數。關鍵因素包括:
    ①外殼尺寸
    ②層數
    ③內電極材料、厚度、共面性、密度和長寬比
    ④施加的直流電壓(如電容)
    ⑤頻率
    MLCC的ESL值由外殼尺寸及其內部電極的長/寬縱橫比決定。ESL通常是根據案例大小給出的。此外,外部終端的數量及其配置也會影響ESL。盡管不存在行業標準,但紋波電流額定值與I2x ESR損耗導致的特定自身溫升有關,這會產生熱量。因此,紋波電流值取決于頻率和直流電壓,其曲線是ESR曲線的倒數。典型的MLCC RC與頻率曲線如圖4a所示:
    陶瓷電容器在POL應用
    圖4a 紋波電流與頻率
    陶瓷電容器在POL應用
    圖4b 溫升與紋波電流
    這是針對指定的自溫升(ΔT)最大值。最大允許ΔT可能因供應商而異。圖4a將ΔT列為+20℃,這對于額定高達+85℃或+125℃的電容器來說非常保守。在較低的環境溫度下,MLCC可以承受更高的紋波電流,但仍能滿足額定溫度( T操作= T環境+ ΔT)。在此示例中,MLCC紋波電流能力范圍為0.25A (1000 Hz) 至2.25A (1MHz)。為了設計合適的輸出電容器解決方案,必須擁有準確的電容器頻率相關信息。此外,MLCC供應商可能會提供RC與溫升的關系,但必須指定生成曲線的頻率。這方面的一個例子如圖4b所示。
    2.MLCC在POL中的作用
    2.1低通輸出濾波器(有時稱為RF輸出濾波器)
    在降壓轉換器中,輸出電感器(L)的值與等效輸出電容器C值一起形成低通濾波器(LPF)。該濾波器的頻率響應具有轉角頻率fc,位于:
    陶瓷電容器在POL應用
    它用于去除轉換器的基本開關頻率(Fsw)及其后續諧波,還用于將任何交流成分和開關瞬變與流向輸出負載的所需直流電流去耦。這還包括幫助平滑輸出電感器的三角電流波形。為了獲得適當的性能,低通濾波器的轉角頻率需要遠低于Fsw。因此,需要考慮輸出MLCC的C值、其在各種條件下的容差和穩定性,包括直流偏置效應。
    2.2紋波電壓抑制(平滑)
    紋波電壓(假設負載為穩態)是降壓轉換器導通和關斷期間負載和輸出電容器兩端的輸出電壓差。在導通期間,通過電感器提供AC+DC電流,AC電流流入輸出電容器進行充電(達到某個最大電壓電平),DC電流流向負載。
    在關閉周期期間,能量開始從輸出電感器流失(通過磁場的衰減),因為沒有輸入電流被提供,輸出電容器成為次級(如果處于連續傳導模式,CCM)或唯一的能源(如果處于非連續導通模式,則為 DCM)。當存儲的能量為E =1/2CV2時,輸出電容器向負載提供電流,并且隨著能量從電容器中排出,電壓電平開始下降(又名電壓下降或Vdroop)在關閉周期的剩余時間。壓降量取決于負載電流、輸出電感值、關斷時間和總C值(較高 = 更好的抑制)和ESR值(越低越好,因為這會降低內部電壓降V=I x R)和輸出電容器的ESL(更低= 更快響應)。設計人員需要了解每個MLCC的每一個,以便確定系統C、ESL和ESR值。用于計算最小C值的許多等式之一是:
    陶瓷電容器在POL應用
    其中I紋波是允許的紋波電流,Vripple是允許的紋波電壓。更高的Cout值意味著更高的成本。
    2.3紋波電流處理
    紋波電流是在導通周期(流入電容器)和關斷周期(流出電容器)期間流入和流出輸出電容器的電流之差。由于I2 x ESR功率損耗,內部變化的電容器交流電流會導致自身溫度升高。為了適應更高的紋波電流,設計人員需要使用更低ESR的電容器(即更高電容或專用MLCC)或使用更多的現有電容器,這也減少了任何電容器的電流量。如果沒有設計足夠的紋波電流處理能力,根據溫度升高的程度、環境溫度和持續時間,可能會發生潛在的MLCC故障。
    對于許多降壓轉換器應用,輸出電容器選擇的控制因素是紋波電流處理能力。因此,MLCC的關鍵參數是ESR(最大值)值和紋波電流(最小值)額定值。
    2.4儲能
    如前所述,存儲在電容器中的能量為E=1/2CV2。C值越大,存儲的能量越多。但設計人員需要將能量存儲需求與尺寸、重量、數量、電路板空間、頻率響應、產品壽命(老化效應)和成本權衡進行比較。紋波電壓、紋波電流、壓降、系統ESR值和每個電容器的紋波電流處理能力都會影響所需的C值,從而影響輸出電容器的能量存儲。就電壓和電容而言,能量存儲決定了在關閉周期或斷電情況下的“保持”時間有多長。對于此關鍵功能,C值、容差、溫度和DC偏置效應是關鍵的MLCC參數。
    2.5瞬態響應
    在電力電子的復雜現實世界中,負載可能會發生變化并具有相當于每微秒數百安培(di/dt)或更高(例如:服務器CPU)的負載升壓(即負載增加)。對于這些情況,轉換器(或電壓調節器,VR)無法響應,因為它需要等待某個反饋信號通知它存在負載變化。同樣,通過輸出電感器的電流不能立即改變,因此不能足夠快地做出反應,因為它需要在能夠提供負載所需的額外電流之前建立其磁場。能夠滿足這些極端要求的唯一能源是配電網絡(PDN) 中的輸出電容器。
    由于其低ESR和ESL值,MLCC是少數可以在高di/dt事件期間提供所需性能的電容器技術之一。然而,標準配置的MLCC仍然無法在最嚴格的應用中提供所需的性能。電容器的內部ESL必須首先“飽和”,即在能夠開始響應負載變化之前建立抑制電流流動的小磁場(H)。因此,像反向幾何電容器這樣的特殊電容器,其終端放置在MLCC側或具有特殊內部電極配置和多終端的MLCC,可顯著降低ESR和ESL。
    在MLCC能夠對負載變化做出反應之前,如果輸出電容器無法在足夠長的時間內提供負載電流,直到其他能源可用,系統電壓電平將開始下降并可能降至臨界最低電平以下(例如CPU的Vcc容差)也開始反應。低ESR/ESL MLCC是最小化電壓下降的第一道防線,但可能沒有足夠的大容量能量存儲來完全獨立完成。
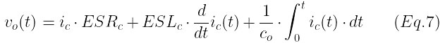
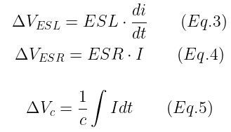
    在瞬態事件期間,MLCC響應首先受到其ESL的限制,其最初禁止電流流出(最接近負載的)電容器。下一階段的響應由ESL和ESR主導,并涉及下一組電容器。第三階段取決于ESR和C值,涉及大容量存儲電容器,最后,其他存儲設備發生恢復,VR開始提供更多電流。輸出電容器內電壓下降的其它者的基本公式為:
    陶瓷電容器在POL應用
    其中:(等式3是高頻瞬變);
    對于圖5a中的多電容器技術解決方案的模擬響應,對于圖5b中所示的PDN網絡:
    陶瓷電容器在POL應用
    圖5a 瞬態期間的電壓降
    陶瓷電容器在POL應用
    圖5b PDN的高di/dt電容方案
    在瞬態響應場景中,ESL 至關重要,MLCC 供應商繼續努力尋求更低的解決方案。設計人員將每種輸出電容器技術的最大值作為目標,并減少 PCB 布局雜散電感。另一個關鍵參數是 ESR,通常重點是最小化該值以滿足最大目標。最后,需要電容值及其大量能量存儲來提供能量,直到轉換器的控制回路可以響應并且轉換器開始向負載提供能量并對 PDN 中的電容器充電。在這里,設計人員通常需要針對每種電容器技術的系統最小值。
    2.6拋負載
    另一個極端情況是負載(能量)傾倒,當電流需求突然減少(負載降壓)時也會發生這種情況。例如當CPU進入空閑模式時。在這里,在高負載電流需求期間,磁性元件被儲存的能量(E = 1/2LI2) 飽和。當到電源的負載路徑不再存在時,唯一剩下的電流出口是通過輸出電容器。因此,設計工程師需要考慮電感值的權衡。值太小會導致紋波過多,而值太高可能會存儲太多能量,需要額外的輸出電容器來處理負載突降。
    流向電容器的電流增加會產生更高的功率損耗(Ploss = I2 x ESR),并且可能會導致熱問題,就像上面提到的高紋波電流一樣。此外,隨著流入電容器的電流增加,現在可能會出現過大的電壓尖峰。因此,設計人員需要平衡電感值及其存儲能量與輸出電容及其能量存儲能力,并確保有足夠的電容、足夠低的ESR來處理電感釋放的能量。
    2.7瞬態電壓尖峰抑制
    如上所述,瞬態事件可以是負載升高或負載降低。由于輸出電感電流的壓擺率增加快于減少(當Vin>Vout時),因此降壓期間的瞬態更為關鍵。在降壓變化期間,就像負載突降一樣,電感電流不再 100% 流向負載,因為其需求已大幅下降。因此,大部分電流現在必須流經輸出電容器,因為:
    陶瓷電容器在POL應用
    其中IL是電感電流,IO是輸出負載電流,IC是通過電容器的電流。如圖6所示:
    陶瓷電容器在POL應用
    圖6 負載降壓期間的負載、電感器、電容器電流
    此外,就在降壓瞬態事件之前,如果處于恒定的高負載,輸出電容器的電壓將處于或接近其最大值。因此,由于內部ESR和ESL兩端的大電流流經電容器,因此預先存在的電容器電壓和電壓降會在瞬態期間在電容器和負載兩端引入電壓尖峰。降壓瞬變期間的輸出電壓波形可以計算為:
    陶瓷電容器在POL應用
    哪些是之前給出的組合V下降方程,但電流現在流入輸出電容器并導致電壓增加?從微觀層面來看,反應較慢的電感器電流IL無法滿足快速變化的負載電流IO需求,因此IC會通過輸出電容器的 ESR C及其ESL C。預先存在的電容器電荷以及ESR C和ESL C電壓都從瞬態期間產生的輸出電壓尖峰下降。該電壓尖峰然后持續到能量從輸出電感器IL耗盡 并且電壓調節器現在已經自我調整以提供減少的電流。
    CPU和VR等智能系統包含自適應電壓定位(AVP) 等功能,有助于減少敏感應用中瞬態電壓尖峰的影響,但大部分負擔仍落在輸出電容器上,因此,它們的ESR和ESL值對于最小化瞬態電壓尖峰的峰值至關重要。這些值越低,電壓尖峰峰值越低。
    以上就是多層陶瓷電容器在POL應用中的作用介紹了。此外多層陶瓷電容器還具有控制回路補償和穩定性、相位和置零、EMI 抑制和負載旁路、負載線阻抗匹配、負載噪聲過濾以及效率提升等作用。而且在設計完成之前,需要對每個功能和相應的電容器解決方案進行計算、建模、仿真和測試。
    〈烜芯微/XXW〉專業制造二極管,三極管,MOS管,橋堆等,20年,工廠直銷省20%,上萬家電路電器生產企業選用,專業的工程師幫您穩定好每一批產品,如果您有遇到什么需要幫助解決的,可以直接聯系下方的聯系號碼或加QQ/微信,由我們的銷售經理給您精準的報價以及產品介紹
     
    聯系號碼:18923864027(同微信)
    QQ:709211280

    相關閱讀