最好看的2018免费观看在线-最好看的2019中文电影-最好免费观看高清视频免费-最近免费中文字幕大全免费版视频

您好!歡迎光臨烜芯微科技品牌官網!

深圳市烜芯微科技有限公司

ShenZhen XuanXinWei Technoligy Co.,Ltd
二極管、三極管、MOS管、橋堆

全國服務熱線:18923864027

  • 熱門關鍵詞:
  • 橋堆
  • 場效應管
  • 三極管
  • 二極管
  • 集成電路相對于分立元件電路的優勢是什么
    • 發布時間:2025-01-07 19:24:50
    • 來源:
    • 閱讀次數:
    集成電路相對于分立元件電路的優勢是什么
    有些應用程序需要寬范圍的輸出調節功能,并且需要輸出的電流低于20mA。對于需要寬范圍輸出調節電壓和低電流輸出的應用電路,采用分立組件構成的線性穩壓器是非常低成本高效益的解決方案(圖1)。對于需要精確輸出調節電壓和高電流的需求,我們可以選擇高性能的芯片-低壓差線性穩壓器(LDO)。
    集成電路 分立元件電路
    圖1所示的電路涉及兩個設計方面的挑戰。第一個挑戰是調節到需求的穩定輸出電壓,第二個挑戰是在電路短路的情況下要保持電路的安全穩定性。下面將會介紹如何使用分立器件來設計穩定的線性穩壓器。
    下面是對于此電路的需求:輸入電壓范圍:8.4V至12.6V。輸出電壓范圍:1.71V至3.7V。最大負載電流:最大輸出電流為Io_max = 20mA。
    三極管Q1的選擇:
    NPN三極管Q1是這個電路最重要的組件。我們首先要選擇這種器件。該三級管必須符合下列要求:集電極c至發射極e和基極b至發射極e的擊穿電壓必須超過最高輸入電壓Vin_max。集電極最大允許電流必須超過最大負載電流Io_max。
    下面是我們選到的的NPN晶體管的關鍵特性。當IC = 50mA時:直流(DC)電流增益hFE = 60;集電極c-發射極e最高飽和電壓VCEsat = 300mV;基極b-發射極e最高飽和電壓VBEsat = 950mV。
    齊納二極管Dz的選擇
    輸出電壓等于反向齊納電壓VZ減去該晶體管基極至發射極電壓VBE。因此,最低反向齊納電壓應符合下述要求(方程式1):
    集成電路 分立元件電路
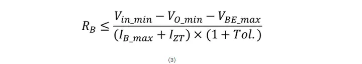
    基極上拉電阻器RB
    電阻RB它是為齊納二極管Dz和三極管Q1的基極提供電流。在正常運行時,它應提供足夠的電流。齊納二極管Dz的反向電流IZ要大于1mA,方程式2大致可以估算出運行所需的最大基極電流:
    集成電路 分立元件電路
    這里是增益Hfe_min = 60。所以,IB_max ≈ 0.333mA。
    方程式3大概可以計算出RB的值。
    集成電路 分立元件電路
    因此,RB應該小于4.26kΩ。我們使用了4.22kΩ標準值的電阻。
    〈烜芯微/XXW〉專業制造二極管,三極管,MOS管,橋堆等,20年,工廠直銷省20%,上萬家電路電器生產企業選用,專業的工程師幫您穩定好每一批產品,如果您有遇到什么需要幫助解決的,可以直接聯系下方的聯系號碼或加QQ/微信,由我們的銷售經理給您精準的報價以及產品介紹
     
    聯系號碼:18923864027(同微信)
     
    QQ:709211280

    相關閱讀