最好看的2018免费观看在线-最好看的2019中文电影-最好免费观看高清视频免费-最近免费中文字幕大全免费版视频

您好!歡迎光臨烜芯微科技品牌官網!

深圳市烜芯微科技有限公司

ShenZhen XuanXinWei Technoligy Co.,Ltd
二極管、三極管、MOS管、橋堆

全國服務熱線:18923864027

  • 熱門關鍵詞:
  • 橋堆
  • 場效應管
  • 三極管
  • 二極管
  • 穩壓二極管限流電阻怎么選擇
    • 發布時間:2019-12-06 15:51:42
    • 來源:
    • 閱讀次數:
    穩壓二極管限流電阻怎么選擇
    概述
    穩壓二極管,英文名稱Zener diode,又叫齊納二極管 。穩壓二極管可以串聯起來以便在較高的電壓上使用,通過串聯就可獲得更多的穩定電壓。 
    穩壓二極管起電壓調節作用,當負載電流減少時,限流電阻兩端電壓降便下降,輸出電壓上升,即相對地加大穩壓二極管的反向電壓,穩壓電流IZ上升,使IRS亦上升,限流電阻RS的管壓降便上升,輸出電壓下降,結果輸出電壓保持不變。缺點是不能獲得較大輸出電流。
    穩壓二極管
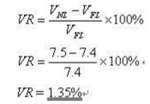
    電壓調節百份比:
    電壓的穩定程度,比數愈低愈好,當直流電壓輸入VS或負載電流IL變動,其輸出Vo可以保持在一定范圍內不變。
    穩壓二極管
    VNL:無負載時的電壓輸出VFL:滿載時的電壓輸出
    例:如上圖的穩壓器,在沒有負載時其輸出電壓為7.5V,而在額定電流
    輸出時,其輸出電壓為7.4V,求此穩壓器的電壓穩定度。
    穩壓二極管
    限流電阻的計算:
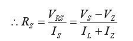
    限流電阻(RS) : 
    (1)提供VZ之工作電流。
    (2)保護VZ不受過流損壞。
    兩個極端情況: a
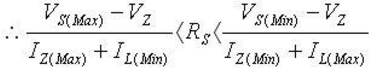
    (輸入電壓VS)VS = VS(Min),IL = IL(Max)(IL為負載的工作電流) 
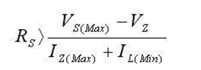
    當VS = VS(Max),IL = IL(Min) 時,
    穩壓二極管
    RS = RS(最小值),   IZ(Max) = 最大工作電流;
    穩壓二極管
    穩壓二極管工作時需要保持一個最小穩定電流Izmin,當低于這個最小穩定電流時穩壓二極管是不會工作的見附圖,為了保證這個基本電流,限流電阻應按照附圖下方的公式來設計。
    穩壓二極管
    例1:如輸入電壓的變化為15V ~ 18V,負載電流變化為5mA ~ 15mA,而穩壓二極管的穩壓值VZ = 12V,穩壓電流IZ(Min)= 0.25mA,IZ(Max) = 50mA,求限流電阻RS的數值。
    解: VS(Max) = 18V,VS(Min) = 15V,IZ(Min) = 0.25mA,IZ (Max) = 50mA
    穩壓二極管
    RS = 100Ω或200Ω
    2. VS = VS(Max),IL = I L(Min)     VRS = VS - VZ    IS = IL + IZ 
    穩壓二極管
    當VS = VS(Min),IL = IL(Max)時,
    穩壓二極管
    RS = RS(最大值),  IZ(Min) = 最低工作電流
    例二:
    已知穩壓二極管輸入電壓U1=12V,穩壓二極管穩定電壓Uz=6V,最小穩定電流Izmin=2mA,負載電流IL=10mA,試計算限流電阻R。
    解:R=(12V-6V)/(2mA+10mA)=6V/12mA=500歐,實際取R=470歐即可。
    烜芯微專業制造二極管,三極管,MOS管,橋堆20年,工廠直銷省20%,1500家電路電器生產企業選用,專業的工程師幫您穩定好每一批產品,如果您有遇到什么需要幫助解決的,可以點擊右邊的工程師,或者點擊銷售經理給您精準的報價以及產品介紹
    相關閱讀